제이슨의 개발이야기
프로그래머스 코틀린 배달 Summer/Winter Coding(~2018) 본문

https://programmers.co.kr/learn/courses/30/lessons/12978
코딩테스트 연습 - 배달
5 [[1,2,1],[2,3,3],[5,2,2],[1,4,2],[5,3,1],[5,4,2]] 3 4 6 [[1,2,1],[1,3,2],[2,3,2],[3,4,3],[3,5,2],[3,5,3],[5,6,1]] 4 4
programmers.co.kr
안녕하세요!
오늘은 프로그래머스 에서
Level 2 배달 문제를 풀어봤습니다!
이 문제는 다익스트라 알고리즘을 이용하는 문제 였고
다익스트라 알고리즘을 알고 있다면 비교적 쉽게 풀 수 있었던 문제였습니다!!
문제 설명
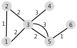
N개의 마을로 이루어진 나라가 있습니다. 이 나라의 각 마을에는 1부터 N까지의 번호가 각각 하나씩 부여되어 있습니다. 각 마을은 양방향으로 통행할 수 있는 도로로 연결되어 있는데, 서로 다른 마을 간에 이동할 때는 이 도로를 지나야 합니다. 도로를 지날 때 걸리는 시간은 도로별로 다릅니다. 현재 1번 마을에 있는 음식점에서 각 마을로 음식 배달을 하려고 합니다. 각 마을로부터 음식 주문을 받으려고 하는데, N개의 마을 중에서 K 시간 이하로 배달이 가능한 마을에서만 주문을 받으려고 합니다. 다음은 N = 5, K = 3인 경우의 예시입니다.

위 그림에서 1번 마을에 있는 음식점은 [1, 2, 4, 5] 번 마을까지는 3 이하의 시간에 배달할 수 있습니다. 그러나 3번 마을까지는 3시간 이내로 배달할 수 있는 경로가 없으므로 3번 마을에서는 주문을 받지 않습니다. 따라서 1번 마을에 있는 음식점이 배달 주문을 받을 수 있는 마을은 4개가 됩니다.
마을의 개수 N, 각 마을을 연결하는 도로의 정보 road, 음식 배달이 가능한 시간 K가 매개변수로 주어질 때, 음식 주문을 받을 수 있는 마을의 개수를 return 하도록 solution 함수를 완성해주세요.
- 마을의 개수 N은 1 이상 50 이하의 자연수입니다.
- road의 길이(도로 정보의 개수)는 1 이상 2,000 이하입니다.
- road의 각 원소는 마을을 연결하고 있는 각 도로의 정보를 나타냅니다.
- road는 길이가 3인 배열이며, 순서대로 (a, b, c)를 나타냅니다.
- a, b(1 ≤ a, b ≤ N, a != b)는 도로가 연결하는 두 마을의 번호이며, c(1 ≤ c ≤ 10,000, c는 자연수)는 도로를 지나는데 걸리는 시간입니다.
- 두 마을 a, b를 연결하는 도로는 여러 개가 있을 수 있습니다.
- 한 도로의 정보가 여러 번 중복해서 주어지지 않습니다.
- K는 음식 배달이 가능한 시간을 나타내며, 1 이상 500,000 이하입니다.
- 임의의 두 마을간에 항상 이동 가능한 경로가 존재합니다.
- 1번 마을에 있는 음식점이 K 이하의 시간에 배달이 가능한 마을의 개수를 return 하면 됩니다.
입출력 예NroadKresult
| 5 | [[1,2,1],[2,3,3],[5,2,2],[1,4,2],[5,3,1],[5,4,2]] | 3 | 4 |
| 6 | [[1,2,1],[1,3,2],[2,3,2],[3,4,3],[3,5,2],[3,5,3],[5,6,1]] | 4 | 4 |
입출력 예 #1
문제의 예시와 같습니다.
입출력 예 #2
주어진 마을과 도로의 모양은 아래 그림과 같습니다.

1번 마을에서 배달에 4시간 이하가 걸리는 마을은 [1, 2, 3, 5] 4개이므로 4를 return 합니다.
1번 마을에서 출발해서 각각 마을 거리의 최소 거리를 저장하고 나서
K보다 작거나 같은 거리의 마을을 찾으면 되는 간단한 문제입니다
1번 마을 부터 BFS 를 통해서 찾아 들어가면서
1번 부터 해당 마을간의 거리의 최소값을 저장하면 됩니다!
이 문제는 자세한 설명보다는 다익스트라 알고리즘을 정확하게 이해 하시게 되면 쉽게 풀수 있는 문제입니다!
import java.util.*
import kotlin.collections.HashMap
class Solution {
var visited :IntArray = intArrayOf()
var arr : Array<HashMap<Int,Int>> = arrayOf()
fun solution(N: Int, road: Array<IntArray>, k: Int): Int {
var answer = 1
visited = IntArray(N+1){-1}
arr = Array(N+1){ HashMap() }
for(i in road.indices){
var startIndex = road[i][0]
var endIndex = road[i][1]
var distance = road[i][2]
if(arr[startIndex].containsKey(endIndex)){
if(arr[startIndex][endIndex]!! >distance){
arr[startIndex][endIndex] = distance
arr[endIndex][startIndex] = distance
}
}else{
arr[startIndex][endIndex] = distance
arr[endIndex][startIndex] = distance
}
}
search(1)
for(i in 2 ..N){
if(visited[i]<=k && visited[i]!=-1){
answer++
}
}
return answer
}
fun search(index : Int ){
visited[1]=0
var queue = LinkedList<Int>()
queue.add(index)
while (!queue.isEmpty()){
var now = queue.poll()
for(key in arr[now].keys){
var dist = arr[now][key]
if(visited[key]==-1){
queue.add(key)
visited[key] = dist!!+visited[now]
}else if(visited[key] >visited[now]+dist!!){
visited[key] = visited[now]+dist
queue.add(key)
}
}
}
}
}
fun main(){
var solution = Solution()
var answer = solution.solution(5,
arrayOf(intArrayOf(1,2,1), intArrayOf(2,3,3), intArrayOf(5,2,2), intArrayOf(1,4,2),
intArrayOf(5,3,1), intArrayOf(5,4,2)),3)
println(answer)
}
'코딩테스트' 카테고리의 다른 글
| 프로그래머스 코틀린 양궁대회 2022 KAKAO BLIND RECRUITMENT (0) | 2022.05.02 |
|---|---|
| 프로그래머스 코틀린 행렬 테두리 회전하기 (0) | 2022.04.30 |
| 코틀린 백준 1316번 문자열 집합 (0) | 2022.04.25 |
| 코틀린 백준 1543 문서 검색 (0) | 2022.04.23 |
| 코틀린 백준 11047 동전0 (0) | 2022.04.22 |