제이슨의 개발이야기
프로그래머스 Level 3 가장 먼 노드 코틀린 Kotlin 본문

https://programmers.co.kr/learn/courses/30/lessons/49189
코딩테스트 연습 - 가장 먼 노드
6 [[3, 6], [4, 3], [3, 2], [1, 3], [1, 2], [2, 4], [5, 2]] 3
programmers.co.kr
안녕하세요!
오랜만입니다 ㅎㅎ...ㅠㅠ
오늘은 프로그래머스 Level 3 가장 먼 노드 문제를 풀어봤습니다
오랜만에 자바가 아닌 코틀린으로 문제를 풀어봤습니다!!
- 가장 먼 노드
n개의 노드가 있는 그래프가 있습니다. 각 노드는 1부터 n까지 번호가 적혀있습니다. 1번 노드에서 가장 멀리 떨어진 노드의 갯수를 구하려고 합니다. 가장 멀리 떨어진 노드란 최단경로로 이동했을 때 간선의 개수가 가장 많은 노드들을 의미합니다.
노드의 개수 n, 간선에 대한 정보가 담긴 2차원 배열 vertex가 매개변수로 주어질 때, 1번 노드로부터 가장 멀리 떨어진 노드가 몇 개인지를 return 하도록 solution 함수를 작성해주세요.
제한사항- 노드의 개수 n은 2 이상 20,000 이하입니다.
- 간선은 양방향이며 총 1개 이상 50,000개 이하의 간선이 있습니다.
- vertex 배열 각 행 [a, b]는 a번 노드와 b번 노드 사이에 간선이 있다는 의미입니다.
| 6 | [[3, 6], [4, 3], [3, 2], [1, 3], [1, 2], [2, 4], [5, 2]] | 3 |
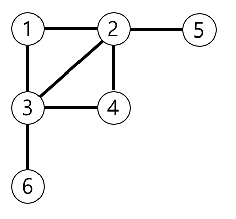
예제의 그래프를 표현하면 아래 그림과 같고, 1번 노드에서 가장 멀리 떨어진 노드는 4,5,6번 노드입니다.

이 문제를 좀 더 쉽게 이해하려면 먼저 위에 이미지를 옆으로 회전시켜보면
밑에 이미지 처럼 됩니다

이렇게 되면 1번 노드는 level 1. , 2,3 노드는 level 2
4,5,6노드는 level 3이 됩니다
즉 1번 노드에서 가장 먼 노드는 level 이 큰 노드가 해당됩니다 !
그리고 1번 노드를 제외한 나머지 노드의 레벨은 상위 노드의 level + 1 이 자신의 Level이 됩니다
이것을 활용하면 문제를 쉽게 풀 수 있습니다!!
아 그리고 이 문제는 배열이 아닌 리스트 형식으로 문제를 풀어야합니다!
배열로 풀게 되면 마지막 8, 9번 문제는 메모리 초과가 뜹니다 ㅎㅎ
import java.util.*
import kotlin.collections.ArrayList
class Solution {
var array : Array<ArrayList<Int>> = arrayOf()
var visited : BooleanArray = booleanArrayOf();
var dist : IntArray = intArrayOf()
var size =0
fun solution(n: Int, edge: Array<IntArray>): Int {
var answer = 0
size = n
array = Array(n+1){ ArrayList() }
dist = IntArray(n+1){0}
visited = BooleanArray(n+1)
for(i in edge.indices){
array[edge[i][0]].add(edge[i][1])
array[edge[i][1]].add(edge[i][0])
}
bfs()
dist.sortDescending()
var max = dist[0]
for(i in dist.indices){
if(max==dist[i]){
answer++
}else{
break
}
}
return answer
}
fun bfs() : Unit {
var list : LinkedList<Int> = LinkedList()
visited[1] = true
list.add(1)
dist[1] = 1
while (list.isNotEmpty()){
val now = list.poll()
for(i in array[now].indices){
var num = array[now][i]
if(!visited[num]){
visited[num]=true
dist[num] = dist[now]+1
list.add(num)
}
}
}
}
}
fun main(){
var solution = Solution();
println(
solution.solution(6, arrayOf(intArrayOf(3,6),
intArrayOf(4,3),
intArrayOf(3,2),
intArrayOf(1,3),
intArrayOf(1,2),
intArrayOf(2,4),
intArrayOf(5,2),
))
)
}
'코딩테스트' 카테고리의 다른 글
| 백준 2108 통계학 코틀린 (0) | 2022.04.02 |
|---|---|
| 프로그래머스 Level 3 단어변환 코틀린 Kotlin (0) | 2022.03.16 |
| 프로그래머스 더 맵게 자바 (0) | 2022.02.08 |
| 프로그래머스 스킬트리 Summer / Winter Coding 2018 (0) | 2021.12.08 |
| 프로그래머스 메뉴 리뉴얼 2021 KAKAO BLIND RECRUITMENT (0) | 2021.12.06 |